Application Center - Maplesoft

App Preview:

Section 1.2 The Algebra of Complex Numbers

You can switch back to the summary page by clicking here.

Learn about Maple
Download Application


 

C01-2.mws

COMPLEX ANALYSIS: Maple Worksheets,  2001
(c) John H. Mathews          Russell W. Howell

mathews@fullerton.edu     howell@westmont.edu


Complimentary software to accompany the textbook:

COMPLEX ANALYSIS: for Mathematics & Engineering, 4th Ed, 2001, ISBN: 0-7637-1425-9
Jones and Bartlett Publishers, Inc.,      40  Tall  Pine  Drive,      Sudbury,  MA  01776

Tele.  (800) 832-0034;      FAX:  (508)  443-8000,      E-mail:  mkt@jbpub.com,      http://www.jbpub.com/


CHAPTER 1  COMPLEX NUMBERS


Section 1.2  The Algebra of Complex Numbers

    We have seen that complex numbers came to be viewed as ordered pairs of real numbers. That is, a complex number z is defined to be

       z = (x, y) .

The reason we say ordered pair is because we are thinking of a point in the plane. The point (2, 3), for example, is not the same as (3, 2). The order in which we write x and y in the equation makes a difference. Clearly, then, two complex numbers are equal if and only if their x coordinates are equal and their y coordinates are equal. In other words,

       (x, y) = (u, v)   iff   x = u   and   y = v .

If we are to have a meaningful number system, there needs to be a method for combining these ordered pairs. We need to define algebraic operations in a consistent way so that the sum, difference, product, and quotient of any two ordered pairs will again be an ordered pair. The key to defining how these numbers should be manipulated is to follow Gauss' lead and equate with . Then, by letting z[1] = (x[1], y[1]) and z[2] = (x[2], y[2]) be arbitrary complex numbers, we have

            z[1]+z[2] = (x[1], y[1])+(x[2], y[2])   

            z[1]+z[2] = x[1]+i*y[1]+x[2]+i*y[2]   

            z[1]+z[2] = x[1]+x[2]+i*(y[1]+y[2])   

            z[1]+z[2] = (x[1]+x[2], y[1]+y[2])   

Thus, if  z[1] = (x[1], y[1]) and z[2] = (x[2], y[2]) are arbitrary complex numbers, the following definitions should make sense.

Definition 1.1:  Addition

Formula (1-6), Page 7.          z[1]+z[2] = (x[1]+x[2], y[1]+y[2])   

Definition 1.2:  Subtraction

Formula (1-7), Page 7.               z[1]-z[2] = (x[1]-x[2], y[1]-y[2])   

The rules for addition, subtraction, multiplication and division of complex numbers
are extensions of the rules for real numbers.  They obey familiar algebraic properties.


Example 1.1,  Page 7.
  Find   z[1]+z[2]   and   z[1]-z[2] .

> z:='z':
Z1 := 3 + 7*I:

Z2 := 5 - 6*I:

z[1] = Z1;

z[2] = Z2;  ` `;

z[1] + z[2] = Z1 + Z2;

z[1] - z[2] = Z1 - Z2;

z[1] = 3+7*I

z[2] = 5-6*I

` `

z[1]+z[2] = 8+I

z[1]-z[2] = -2+13*I

Definition 1.3:  Multiplication

Formula (1-8), Page 8.          z[1]*z[2] = (x[1]*x[2]-y[1]*y[2], x[1]*y[2]+x[2]*y[1])   


Example 1.2,  Page 8.
  Find   z[1]*z[2] .

> z:='z':
Z1 := 3 + 7*I:

Z2 := 5 - 6*I:

z[1] = Z1;

z[2] = Z2;  ` `;

z[1]*z[2] = Z1*Z2;

z[1] = 3+7*I

z[2] = 5-6*I

` `

z[1]*z[2] = 57+17*I

Definition 1.4:  Division

Formula (1-9), Page 9.                 z[1]/z[2] = ((x[1]*x[2]+y[1]*y[2])/(x[2]^2+y[2]^2), (-x[1]*y[2]+x[2]*y[1])/(x[2]^2+y[2]^2))   


Example 1.3,  Page 9.
  Find   z[1]/z[2]  .

> z:='z':
Z1 := 3 + 7*I:

Z2 := 5 - 6*I:

z[1] = Z1;

z[2] = Z2;  ` `;

z[1]/z[2] = Z1/Z2;

z[1] = 3+7*I

z[2] = 5-6*I

` `

z[1]/z[2] = -27/61+53/61*I


Derivation for Multiplication,
Formula (1-8), Page 8.  In general we can derive:

> x:='x': y:='y': z:='z':
Z1:='Z1': Z1 := x[1] + I*y[1]:

Z2:='Z2': Z2 := x[2] + I*y[2]:

z[1] = Z1;

z[2] = Z2;  ` `;

z[1]*z[2] = Z1*Z2;

z[1]*z[2] = expand(Z1*Z2);

z[1] = x[1]+I*y[1]

z[2] = x[2]+I*y[2]

` `

z[1]*z[2] = (x[1]+I*y[1])*(x[2]+I*y[2])

z[1]*z[2] = x[1]*x[2]+I*x[1]*y[2]+I*y[1]*x[2]-y[1]*y[2]


Derivation for Division,
Formula (1-9), Page 9.  In general we can derive:

> d:='d': n:='n': x:='x': y:='y': z:='z':
Z1:='Z1': Z1 := x[1] + I*y[1]:

Z2:='Z2': Z2 := x[2] + I*y[2]:

z[1] = Z1;

z[2] = Z2;  ` `;

z[1]/z[2] = Z1/Z2;

n := expand(Z1*(x[2]-I*y[2])):

d := expand(Z2*(x[2]-I*y[2])):

z[1]/z[2] = n/d;

z[1] = x[1]+I*y[1]

z[2] = x[2]+I*y[2]

` `

z[1]/z[2] = (x[1]+I*y[1])/(x[2]+I*y[2])

z[1]/z[2] = (x[1]*x[2]-I*x[1]*y[2]+I*y[1]*x[2]+y[1]*y[2])/(x[2]^2+y[2]^2)

Definition 1.5:  Real Part

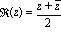
The real part of z denoted Re(z) is the real number x .

Definition 1.6:  Imaginary Part

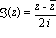
The imaginary part of z denoted Im(z) is the real number y .

Definition 1.7:  Conjugate

The conjugate of z denoted conjugate(z) is the complex number (x, -y) = x-i*y .


Example 1.4a,  Page 12.
  Find   Re(z[1])   and   Re(z[2]) .

> z:='z':
Z1 := -3 + 7*I:  z[1] = Z1;

Re(z[1]) = Re(Z1); ` `;

Z2 :=  9 + 4*I:  z[2] = Z2;

Re(z[2]) = Re(Z2);

z[1] = -3+7*I

Re(z[1]) = -3

` `

z[2] = 9+4*I

Re(z[2]) = 9


Example 1.4b,  Page 12.
  Find   Im(z[1])   and   Im(z[2]) .

> z:='z':
Z1 := -3 + 7*I: z[1] = Z1;

`Im(z1) ` = Im(Z1); ` `;

Z2 :=  9 + 4*I: z[2] = Z2;

`Im(z2) ` = Im(Z2);

z[1] = -3+7*I

`Im(z1) ` = 7

` `

z[2] = 9+4*I

`Im(z2) ` = 4


Example 1.4c,  Page 12.
  Find   conjugate(z[1])   and   conjugate(z[2]) .

> z:='z':
Z1 := -3 + 7*I:

z[1] = Z1;

conjugate(z[1]) = conjugate(Z1); ` `;

Z2 :=  9 + 4*I:

z[2] = Z2;

conjugate(z2) = conjugate(Z2);

z[1] = -3+7*I

conjugate(z[1]) = -3-7*I

` `

z[2] = 9+4*I

conjugate(z2) = 9-4*I


Derivation of the Commutative Law for Addition,
Property (P1), Page 10.  In general we can derive:

> x:='x': y:='y': z:='z':
Z1:='Z1': Z1 := x[1] + I*y[1]:

Z2:='Z2': Z2 := x[2] + I*y[2]:

z[1] = Z1;

z[2] = Z2;  ` `;

`z1 + z2` = Z1 + Z2;

`z2 + z1` = Z2 + Z1; ` `;

`Does  z1 + z2 = z2 + z1  ?`;

Z1+Z2 = Z2+Z1;

evalb(Z1+Z2 = Z2+Z1);

z[1] = x[1]+I*y[1]

z[2] = x[2]+I*y[2]

` `

`z1 + z2` = x[1]+I*y[1]+x[2]+I*y[2]

`z2 + z1` = x[1]+I*y[1]+x[2]+I*y[2]

` `

`Does  z1 + z2 = z2 + z1  ?`

x[1]+I*y[1]+x[2]+I*y[2] = x[1]+I*y[1]+x[2]+I*y[2]

true


Derivation of the Associative Law for Multiplication,
Property (P6), Page 10.  In general we can derive:

> x:='x': y:='y':
Z1 := x[1] + I*y[1]: `z1 ` = Z1;

Z2 := x[2] + I*y[2]: `z2 ` = Z2;

Z3 := x[3] + I*y[3]: `z3 ` = Z3;

w1 := Z1*(Z2 + Z3):

w2 := Z1*Z2 + Z1*Z3:  `  `;

`z1*(z2 + z3) ` = w1;

`z1*z2 + z1*z3 ` = w2;

w1 := expand(w1):

w2 := expand(w2):  `  `;

`z1*(z2 + z3) ` = w1;

`z1*z2 + z1*z3 ` = w2; ` `;

`Does  z1*(z2 + z3) = z1*z2 + z1*z3  ?`;

evalb(w1 = w2);

`z1 ` = x[1]+I*y[1]

`z2 ` = x[2]+I*y[2]

`z3 ` = x[3]+I*y[3]

`  `

`z1*(z2 + z3) ` = (x[1]+I*y[1])*(x[2]+I*y[2]+x[3]+I*y[3])

`z1*z2 + z1*z3 ` = (x[1]+I*y[1])*(x[2]+I*y[2])+(x[1]+I*y[1])*(x[3]+I*y[3])

`  `

`z1*(z2 + z3) ` = x[1]*x[2]+I*x[1]*y[2]+x[1]*x[3]+I*x[1]*y[3]+I*y[1]*x[2]-y[1]*y[2]+I*y[1]*x[3]-y[1]*y[3]

`z1*z2 + z1*z3 ` = x[1]*x[2]+I*x[1]*y[2]+x[1]*x[3]+I*x[1]*y[3]+I*y[1]*x[2]-y[1]*y[2]+I*y[1]*x[3]-y[1]*y[3]

` `

`Does  z1*(z2 + z3) = z1*z2 + z1*z3  ?`

true

>

Theorem 1.1,  Page 12.   Suppose z[1] , z[2] , and z[3] are arbitrary complex numbers. Then  

(1-10)     conjugate(conjugate(z)) = z ,     

(1-11)     conjugate(z[1]+z[2]) = conjugate(z[1])+conjugate(z[2]) ,     

 

(1-12)     conjugate(z[1]*z[2]) = conjugate(z[1])*conjugate(z[2]) ,     

(1-13)     conjugate(z[1]/z[2]) = conjugate(z[1])/conjugate(z[2]) ,     

(1-14)     Re(z) = (z+conjugate(z))/2 ,     

(1-15)     Im(z) = (z-conjugate(z))/(2*i) ,    

(1-16)     Re(i*z) = -Im(z) ,     

(1-17)     Im(i*z) = Re(z) .     

End of Section 1.2.