Π Theorem for Finding Dimensionless Groups for a Physical System
Lee R. Partin
Copyright 2008, L R Partin
lpartin@chartertn.net
The theorem provides information about the relationship of physical parameters within a physical system.
Suppose you have a physical system that is determined by five parameters such that . The Theorem determines the number of dimensionless groups composed of the five parameters that are required to restate the equation. Suppose that three groups are required. The new equation is .
Thomas Szirtes provided detailed procedures to determine the groups in his book "Applied Dimensional Analysis and Modeling," McGraw-Hill, (1998), ISBN 0-07-062811-4. See chapters 7 and 8 for the methodology. The procedures were programmed in Maple using its Units module. The textbook has numerous examples for applying the Π Theorem. The book is very good at explaining the application of the Π theorem to physical systems.
Restart
Restart Maple to initialize the work space.
Module Programming
The Units module provides the needed capability to handle the Pi theorem methodology. A module called GeneratePiTheorem applies Units in its programming of the Pi methodology.
Initialization
Initializing the Units module:
Module
The Pi theorem method is programmed in a module that is created within a routine. The k
Application of Pi Theorem
To use the PiTheorem module, you must first define Maple variables as the physical parameters of a physical system. Maple knows the dimensions for numerous physical parameters. Here are its known physical dimensions.
The AddDimension command lets you add new dimensions to the system. For example, basis weight in paper manufacture is defined as the grams per square meter of surface area. It is defined to the system in terms of previously defined dimensions as follows using AddDimension:
Overview:
Several examples are provided to show its usage.
Traditional Pendulum Example
The period of a pendulum is related to the pendulum length, the acceleration of gravity and the release angle. First, enter the physical parameter variables:
Create a PiTheorem module instance called Case1 for this example.
Initialize the module instance with the physical parameter data as follows. Note that parameter t is placed first in the list since it is the main variable of concern. The method will create groups with t found only in The variable names are entered to the initialization as a 'name'=name. 'name' delays the evaluation so that the actual name gets passed to the routine.
Perform the initial calculations and check for valid solutions,
Find the Π groups,
Print the Π groups from the rows of :
Then, the resulting mathematical relationship for the pendulum is in the form of Therefore, .
What if you attempted to add the mass of the pendulum as a physical parameter to the model?
The check step now fails. One of the rules for the Pi Theorem is that each fundamental unit within the proposed physical parameters must occur in at least two physical parameters. Otherwise, it is not possible to form a dimensionless group with the physical parameter. If the pendulum mass is actually required to model the physical system, then there must be another physical parameter added that includes mass in its dimensions.
Terminal Raindrop Velocity
Falling raindrops reach a maximum velocity as they fail to earth. It is proposed that the terminal velocity is related to the radius of the raindrop, the density of the air, the viscosity of the air and the earth's acceleration of gravity. The Pi Theorem is applied as follows:
Create a PiTheorem module instance for this example,
Initialize the module instance with the physical parameter data as follows. Note that parameter v is placed first in the list since it is the main variable of concern.
Print the Π groups,
Note that there are two groups and that the first two physical parameters in the entry list were selected to be in only one of the two groups and to be raised to the first power. By placing the terminal velocity as the first physical parameter entry, it gets to be only within the first group. That is a good feature for our model of terminal raindrop velocity to have.
You may change the second physical parameter in the list and get another set of Pi groups:
The new Π groups are:
The analysis does not work for all cases. If ρ and μ were entered first and second in the Initialize list, then the analysis tries to find a solution where has ρ to the first power without μ present and has μ to the first power without ρ present. It is not feasible. The module responds with an error and recommends changing the order of the physical parameters.
Heat Transfer in a Pipe
The rate of heat transfer of a fluid in a pipe is given by
Heat Flow = heat transfer coefficient * area * temperature difference between the fluid and the pipe wall
The heat transfer coefficient is related to six other parameters. The parameter list is:
The resulting Π groups are:
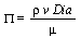
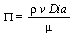
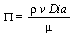
The groups are known as the Nusselt number, Reynolds number and Prandtl number.
Find All Pi Groups Feasible for Heat Transfer in a Pipe
The seven physical parameters for heat transfer in a pipe are:
The heat transfer coefficient is kept as the first parameter and the other six parameters are tested in all permutations in order to find all of the feasible groups from the solution technique.
, and correspond to the groups found in the previous section. There are six more Π groups that are feasible. The Π theorem requires that the three selected Π groups are independent.
Suppose that you select the and groups. Which of the remaining seven Pi groups are independent of these two Pi groups. The module provides a routine to find them.
6 groups are independent from the two selected groups.
Now try again with a selection of Pi groups and .
The three groups that contain the heat transfer coefficient are then feasible as independent groups to match with and as the final group.
Coffee Warmer
Reference: Dr. Thomas Szirtes, "Applied Dimensional Analysis and Modeling," McGraw-Hill, (1998), ISBN 0-07-062811-4, pp. 356-358.
A cup of coffee is being heated on a hot plate as follows:
The physical system is proposed to be given by five quantities:
Legal Notice: The copyright for this application is owned by the author. Neither Maplesoft nor the author are responsible for any errors contained within and are not liable for any damages resulting from the use of this material. This application is intended for non-commercial, non-profit use only. Contact the author for permission if you wish to use this application in for-profit activities.