Application Center - Maplesoft

App Preview:

Volume of a Solid of Revolution Rotating about x=0

You can switch back to the summary page by clicking here.

Learn about Maple
Download Application


 

Image 

Volume of a Solid of Revolution 

Rotation about x=0 

? Maplesoft, a division of Waterloo Maple Inc., 2007 

Introduction 

This application is one of a collection of examples teaching Calculus with Maple. These applications use Clickable Calculus? methods to solve problems interactively. Steps are given at every stage of the solution, and many are illustrated using short video clips.  Click on theImage buttons to watch the videos. 

Problem Statement 

A solid of revolution is formed when the region bounded by the curves Typesetting:-mrow(Typesetting:-mi( and the Typesetting:-mrow(Typesetting:-mi(-axis is rotated about the Typesetting:-mrow(Typesetting:-mi(-axis.  Using the method of (a) disks, and (b) shells, find Typesetting:-mrow(Typesetting:-mi(, its volume.  

 

Solution 

Solution (a) 

The volume of revolution is given by 

Typesetting:-mrow(Typesetting:-mi( 

where Typesetting:-mrow(Typesetting:-msub(Typesetting:-mi( and Typesetting:-mrow(Typesetting:-msub(Typesetting:-mi(. 

 

Step 

Result 

Form the definite integral representing the volume, and evaluate.  

 

Use the Expression palette to construct the definite integral. Press [Enter] to evaluate. 

 

HyperlinkImage 

 

Typesetting:-mrow(Typesetting:-mi( 

V = `+`(`*`(`/`(1, 2), `*`(Pi))) (3.1.1)
 

 

 

Solution (b) 

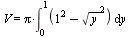
Using shells, the volume is given by  

 

Typesetting:-mrow(Typesetting:-mi( 

where Typesetting:-mrow(Typesetting:-mi(and Typesetting:-mrow(Typesetting:-mi( 

 

Step 

Result 

Launch and use the Volume of Revolution Tutor. 

Tools>Tutors> Calculus- Single Variable>Volume of Revolution. Enter Typesetting:-mrow(Typesetting:-mi(and Typesetting:-mrow(Typesetting:-mi(Set a=0 and b=1. Select "Vertical" for Line of Revolution. In plot options, select "Boxed" for axes and select "Use constrained scaling". Press [Display]. See Figure 1 below. 

 

HyperlinkImage 

 

 

Image 

Figure 1 The Volution of Revolution Tutor used to compute the volume of the solid generated by rotating  the region bounded by the curves Typesetting:-mrow(Typesetting:-mi( and the x-axis about the Typesetting:-mrow(Typesetting:-mi(-axis.  The volume computed lies between the red surface (Typesetting:-mrow(Typesetting:-mi() and the green surface (Typesetting:-mrow(Typesetting:-mi(). 

 

For corroboration, form the definite integral representing the volume, and evaluate.  

 

Use the Expression palette to construct the definite  integral. Press [Enter] to evaluate. 

 

 

HyperlinkImage 

Typesetting:-mrow(Typesetting:-mi( 

V = `+`(`*`(`/`(1, 2), `*`(Pi))) (3.2.1)
 

 

 

Legal Notice: The copyright for this application is owned by Maplesoft. The application is intended to demonstrate the use of Maple to solve a particular problem. It has been made available for product evaluation purposes only and may not be used in any other context without the express permission of Maplesoft.   

 

Image