Pr?-test de math?matique
Mario Lemelin copyright 2007
===========================================================================
Instruction
Bienvenue au pr?-test de math?matique. Ce questionnaire a pour but de v?rifier votre niveau de compr?hension des notions de base n?cessaires pour une bonne r?ussite des cours de calcul diff?rentiel et de calcul int?gral. Pour proc?der, veillez ? ce que toutes les sections soit ferm?es. Ceci se v?rifie, en faisant dans le menu "View", un clic sur "Collapse All Sections", puis en ouvrant la section Instruction, pour lire ces quelques lignes.
Pour op?rer le questionnaire, il suffit d'abord de cliquer sur le bouton "Mise ? z?ro" pour enlever les r?ponses. Dans le menu "View", lancer le "SlidesShow". Vous pourrez alors naviguer avec les fl?ches avant et apr?s de votre clavier. Il est important de ne cliquer que sur une seule des r?ponses. Cliquer sur le bouton "V?rifier" pour savoir si votre r?ponse est vraie ou fausse. Il n'est pas n?cessaire de r?ussir une section pour passer ? l'autre. Vous pourrez toujours revenir ult?rieurement pour tenter de trouver la solution.
Je vous souhaite de bien vous amuser. N'h?sitez pas ? demander l'aide de d'autres ?tudiants. Le principal n'est pas d'avoir la note la plus ?lev?e, mais plut?t de bien comprendre tous les aspects du calcul qui sont n?cessaires pour trouver la r?ponse.
Question 1
r?pond ? quelles fonctions suivantes:
Toutes
2 et 3
1, 2 et 3
1, 3
La r?ponse est : .
Question 2
La fonction a comme domaine ;
/{3}
La r?ponse est :
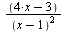
Question 3
Trouver l'?quation g?n?rale de l'?llipse suivante ;
Question 4
Quelle est la valeur de radians en degr?s ?
Question 5
Si , quelles proposition sont vraies ?
2, 6 et 7
1, 3 et 5
4, 7 et 8
aucune de ces r?ponses
Question 6
Si , que vaut ? y ? ?
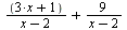
Question 7
Simplifier au maximum l'expression
Question 8
Quelle est la relation exacte concernant la mesure du c?t? p dans le triangle ;
Question 9
Indiquez quelle fonction repr?sente le graphique suivant :
Question 10
Quelle est l'?quation d'un cercle de rayon 3 et centr? au point (1,2)
Question 11
Mettre au m?me d?nominateur l'expressiion .
Aucune de ces r?ponses
Question 12
Soit . La pente de la droite est ;
Positive
N?gative
Nulle
N'existe pas
Question 13
Si vous isolez ? x ? dans l'?quation , vous aurez que ? x ? vaut :
et -3
et 3
Question 14
R?soudre l'?quation exponentielle .
Question 15
Simplifier au maximum
Question 16
Trouver les coordonn?es cart?siennes du point P dans le cercle trigonom?trique de rayon 1 et qui correspond ? un angle de .
Question 17
Soit . Sachant que cette fonction passe par le point (-1,2), trouver la base de la fonction exponentielle.
Question 18
Si vous savez que , et , calculer .
Question 19
Trouver l'?quation de la parabole suivante ;
Question 20
Si , quelle expression est vraie ?
Question 21
Soit ?quivaut ? ;
Question 22
Trouver les valeurs de ? a ? et ? b ? qui satisfont le syst?me d'?quations lin?aires et
et
Question 23
D?composes le plus possible
Question 24
Soit un triangke quelconque. Nous savons que ∠DBA = et ∠CDA = . Quelle est l'angle ∠BAD ?
Question 25
Lequel des graphiques suivants repr?sente la fonction ?
Question 26
Question 27
Question 28
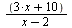
Simplifier a maximum l'expression
Question 29
Faire la division du polynomiale de
Aucune de ces r?ponses.
Question 30
Trouvez l'?quation de la droite sous la forme passant par les points et .
Legal Notice: The copyright for this application is owned by the author(s). Neither Maplesoft nor the author are responsible for any errors contained within and are not liable for any damages resulting from the use of this material. This application is intended for non-commercial, non-profit use only. Contact the author for permission if you wish to use this application in for-profit activities.