Application Center - Maplesoft

App Preview:

Pré-test en Mathématique

You can switch back to the summary page by clicking here.

Learn about Maple
Download Application


 

Image 

Pr?-test de math?matique 

Mario Lemelin
copyright 2007
 

=========================================================================== 

Instruction 

 

Bienvenue au pr?-test de math?matique.  Ce questionnaire a pour but de v?rifier votre niveau de compr?hension des notions de base n?cessaires pour une bonne r?ussite des cours de calcul diff?rentiel et de calcul int?gral.  Pour proc?der, veillez ? ce que toutes les sections soit ferm?es.  Ceci se v?rifie, en faisant dans le menu "View", un clic sur "Collapse All Sections", puis en ouvrant la section Instruction, pour lire ces quelques lignes. 

 

Pour op?rer le questionnaire, il suffit d'abord de cliquer sur le bouton "Mise ? z?ro" pour enlever les r?ponses.  Dans le menu "View", lancer le "SlidesShow".  Vous pourrez alors naviguer avec les fl?ches avant et apr?s de votre clavier.  Il est important de ne cliquer que sur une seule des r?ponses.  Cliquer sur le bouton "V?rifier" pour savoir si votre r?ponse est vraie ou fausse.  Il n'est pas n?cessaire de r?ussir une section pour passer ? l'autre.  Vous pourrez toujours revenir ult?rieurement pour tenter de trouver la solution. 

 

Je vous souhaite de bien vous amuser.  N'h?sitez pas ? demander l'aide de d'autres ?tudiants.  Le principal n'est pas d'avoir la note la plus ?lev?e, mais plut?t de bien comprendre tous les aspects du calcul qui sont n?cessaires pour trouver la r?ponse. 

 

Mise ? z?ro 

 

Question 1 

 

Typesetting:-mrow(Typesetting:-mi( r?pond ? quelles fonctions suivantes: 

 

 

Typesetting:-mrow(Typesetting:-mn( 

Typesetting:-mrow(Typesetting:-mn( 

Typesetting:-mrow(Typesetting:-mn( 

Typesetting:-mrow(Typesetting:-mn( 

 

a)Toutes 

b)2 et 3 

c)1, 2 et 3 

d)1, 3 

 

V?rifier  La r?ponse est :  Embedded component. 

 

Question 2 

 

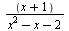
La fonction Typesetting:-mrow(Typesetting:-mi( a comme domaine ; 

 

a)Typesetting:-mrow(Typesetting:-mo( 

b)Typesetting:-mrow(Typesetting:-msup(Typesetting:-mi( 

c)Typesetting:-mrow(Typesetting:-mi( /{3} 

d)Typesetting:-mrow(Typesetting:-mo( 

 

V?rifier  La r?ponse est :  Embedded component 

 

 

Question 3 

 

Trouver l'?quation g?n?rale de l'?llipse suivante ; 

 

Image 

 

a)Typesetting:-mrow(Typesetting:-mfrac(Typesetting:-msup(Typesetting:-mi( 

b)Typesetting:-mrow(Typesetting:-mfrac(Typesetting:-msup(Typesetting:-mi( 

c)Typesetting:-mrow(Typesetting:-mfrac(Typesetting:-msup(Typesetting:-mi( 

d)Typesetting:-mrow(Typesetting:-mfrac(Typesetting:-msup(Typesetting:-mi( 

 

V?rifier  La r?ponse est :  Embedded component 

 

Question 4 

Quelle est la valeur de Typesetting:-mrow(Typesetting:-mfrac(Typesetting:-mrow(Typesetting:-mn( radians en degr?s ? 

 

a)Typesetting:-mrow(Typesetting:-msup(Typesetting:-mn( 

b)Typesetting:-mrow(Typesetting:-msup(Typesetting:-mn( 

c)Typesetting:-mrow(Typesetting:-msup(Typesetting:-mn( 

d)Typesetting:-mrow(Typesetting:-msup(Typesetting:-mn( 

 

V?rifier  La r?ponse est :  Embedded component 

 

 

Question 5 

 

Si Typesetting:-mrow(Typesetting:-mi(, quelles proposition sont vraies ? 

 

Typesetting:-mrow(Typesetting:-mn( 

Typesetting:-mrow(Typesetting:-mn( 

Typesetting:-mrow(Typesetting:-mn( 

Typesetting:-mrow(Typesetting:-mn( 

Typesetting:-mrow(Typesetting:-mn( 

Typesetting:-mrow(Typesetting:-mn( 

Typesetting:-mrow(Typesetting:-mn( 

Typesetting:-mrow(Typesetting:-mn( 

 

a)2, 6 et 7 

b)1, 3 et 5 

c)4, 7 et 8 

d)aucune de ces r?ponses 

 

V?rifier  La r?ponse est :  Embedded component 

 

Question 6 

 

Si Typesetting:-mrow(Typesetting:-mi( , que vaut ? y ? ? 

 

 

a)Typesetting:-mrow(Typesetting:-mfrac(Typesetting:-mfenced(Typesetting:-mrow(Typesetting:-mi( 

b)Typesetting:-mrow(Typesetting:-mfrac(Typesetting:-mfenced(Typesetting:-mrow(Typesetting:-mi( 

c)Typesetting:-mrow(Typesetting:-mfrac(Typesetting:-mfenced(Typesetting:-mrow(Typesetting:-mi( 

d)Typesetting:-mrow(Typesetting:-mfrac(Typesetting:-mfenced(Typesetting:-mrow(Typesetting:-mi( 

 

V?rifier  La r?ponse est :  Embedded component 

 

 

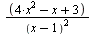
Question 7 

Simplifier au maximum l'expression Typesetting:-mrow(Typesetting:-mfrac(Typesetting:-mfenced(Typesetting:-mrow(Typesetting:-mi( 

 

a)Typesetting:-mrow(Typesetting:-mfrac(Typesetting:-mi( 

b)Typesetting:-mrow(Typesetting:-mfrac(Typesetting:-mfenced(Typesetting:-mrow(Typesetting:-mi( 

c)Typesetting:-mrow(Typesetting:-mfrac(Typesetting:-mfenced(Typesetting:-mrow(Typesetting:-msup(Typesetting:-mi( 

d)aucune de ces r?ponses 

 

V?rifier  La r?ponse est :  Embedded component 

 

 

Question 8 

 

Quelle est la relation exacte concernant la mesure du c?t? p dans le triangle ; 

 

Image 

 

a)Typesetting:-mrow(Typesetting:-mfrac(Typesetting:-mrow(Typesetting:-mi( 

b)Typesetting:-mrow(Typesetting:-mfrac(Typesetting:-mrow(Typesetting:-mi( 

c)Typesetting:-mrow(Typesetting:-mfrac(Typesetting:-mrow(Typesetting:-mi( 

d)aucune de ces r?ponses 

 

V?rifier  La r?ponse est :  Embedded component 

 

 

Question 9 

 

Indiquez quelle fonction repr?sente le graphique suivant : 

 

Image 

 

 

a)Typesetting:-mrow(Typesetting:-mn( 

b)Typesetting:-mrow(Typesetting:-mn( 

c)Typesetting:-mrow(Typesetting:-mn( 

d)aucune de ces r?ponses 

 

V?rifier  La r?ponse est :  Embedded component 

 

 

Question 10 

 

Quelle est l'?quation d'un cercle de rayon 3 et centr? au point (1,2) 

 

 

a)Typesetting:-mrow(Typesetting:-msup(Typesetting:-mfenced(Typesetting:-mrow(Typesetting:-mi( 

b)Typesetting:-mrow(Typesetting:-msup(Typesetting:-mi( 

c)Typesetting:-mrow(Typesetting:-msup(Typesetting:-mfenced(Typesetting:-mrow(Typesetting:-mi( 

d)Typesetting:-mrow(Typesetting:-msup(Typesetting:-mfenced(Typesetting:-mrow(Typesetting:-mi( 

 

V?rifier  La r?ponse est :  Embedded component 

 

 

Question 11 

 

Mettre au m?me d?nominateur l'expressiion Typesetting:-mrow(Typesetting:-mfrac(Typesetting:-mn(. 

 

 

a)Typesetting:-mrow(Typesetting:-mfrac(Typesetting:-mfenced(Typesetting:-mrow(Typesetting:-mn( 

b)Typesetting:-mrow(Typesetting:-mfrac(Typesetting:-mfenced(Typesetting:-mrow(Typesetting:-mn( 

c)Typesetting:-mrow(Typesetting:-mfrac(Typesetting:-mn( 

d)Aucune de ces r?ponses 

 

V?rifier  La r?ponse est :  Embedded component 

 

 

Question 12 

 

Soit Typesetting:-mrow(Typesetting:-mn(.  La pente de la droite est ; 

 

 

a)Positive 

b)N?gative 

c)Nulle 

d)N'existe pas 

 

V?rifier  La r?ponse est :  Embedded component 

 

 

Question 13 

 

Si vous isolez ? x ? dans l'?quation Typesetting:-mrow(Typesetting:-mfrac(Typesetting:-mn( , vous aurez que ? x ? vaut : 

 

a)Typesetting:-mrow(Typesetting:-mfrac(Typesetting:-mn( et -3 

b)Typesetting:-mrow(Typesetting:-mo( et 3 

c)Typesetting:-mrow(Typesetting:-mo( et -3 

d)Typesetting:-mrow(Typesetting:-mfrac(Typesetting:-mn( et 3 

 

V?rifier  La r?ponse est :  Embedded component 

 

 

Question 14 

 

R?soudre l'?quation exponentielle Typesetting:-mrow(Typesetting:-msup(Typesetting:-mfenced(Typesetting:-mrow(Typesetting:-mfrac(Typesetting:-mn( . 

 

 

a)Typesetting:-mrow(Typesetting:-mi( 

b)Typesetting:-mrow(Typesetting:-mi( 

c)Typesetting:-mrow(Typesetting:-mi( 

d)Typesetting:-mrow(Typesetting:-mi( 

 

V?rifier  La r?ponse est :  Embedded component 

 

Question 15 

 

Simplifier au maximum Typesetting:-mrow(Typesetting:-msup(Typesetting:-mfenced(Typesetting:-mrow(Typesetting:-mi( 

 

 

a)Typesetting:-mrow(Typesetting:-msup(Typesetting:-mi( 

b)Typesetting:-mrow(Typesetting:-msup(Typesetting:-mi( 

c)Typesetting:-mrow(Typesetting:-msup(Typesetting:-mfenced(Typesetting:-mrow(Typesetting:-mi( 

d)Typesetting:-mrow(Typesetting:-msup(Typesetting:-mi( 

 

V?rifier  La r?ponse est :  Embedded component 

 

 

Question 16 

 

Trouver les coordonn?es cart?siennes du point P dans le cercle trigonom?trique de rayon 1 et qui correspond ? un angle de Typesetting:-mrow(Typesetting:-mo(. 

 

a)Typesetting:-mrow(Typesetting:-mfenced(Typesetting:-mrow(Typesetting:-mo( 

b)Typesetting:-mrow(Typesetting:-mfenced(Typesetting:-mrow(Typesetting:-mfrac(Typesetting:-mn( 

c)Typesetting:-mrow(Typesetting:-mfenced(Typesetting:-mrow(Typesetting:-mi( 

d)Typesetting:-mrow(Typesetting:-mi( 

 

V?rifier  La r?ponse est :  Embedded component 

 

 

Question 17 

 

Soit Typesetting:-mrow(Typesetting:-mi( .  Sachant que cette fonction passe par le point (-1,2), trouver la base de la fonction exponentielle. 

 

 

a)Typesetting:-mrow(Typesetting:-mo( 

b)Typesetting:-mrow(Typesetting:-mfrac(Typesetting:-mn( 

c)Typesetting:-mrow(Typesetting:-mn( 

d)Typesetting:-mrow(Typesetting:-mi( 

 

V?rifier  La r?ponse est :  Embedded component 

 

 

Question 18 

 

Si vous savez que Typesetting:-mrow(Typesetting:-msub(Typesetting:-mo( , Typesetting:-mrow(Typesetting:-msub(Typesetting:-mo( et Typesetting:-mrow(Typesetting:-msub(Typesetting:-mo(, calculer Typesetting:-mrow(Typesetting:-mi(. 

 

a)Typesetting:-mrow(Typesetting:-mn( 

b)Typesetting:-mrow(Typesetting:-mn( 

c)Typesetting:-mrow(Typesetting:-mn( 

d)Aucune de ces r?ponses 

 

V?rifier  La r?ponse est :  Embedded component 

 

 

Question 19 

 

Trouver l'?quation de la parabole suivante ; 

 

Image 

 

a)Typesetting:-mrow(Typesetting:-msup(Typesetting:-mfenced(Typesetting:-mrow(Typesetting:-mi( 

b)Typesetting:-mrow(Typesetting:-msup(Typesetting:-mfenced(Typesetting:-mrow(Typesetting:-mi( 

c)Typesetting:-mrow(Typesetting:-msup(Typesetting:-mfenced(Typesetting:-mrow(Typesetting:-mi( 

d)Typesetting:-mrow(Typesetting:-msup(Typesetting:-mfenced(Typesetting:-mrow(Typesetting:-mi( 

 

V?rifier  La r?ponse est :  Embedded component 

 

 

Question 20 

 

Si Typesetting:-mrow(Typesetting:-msub(Typesetting:-mo(, quelle expression  est vraie ? 

 

a)Typesetting:-mrow(Typesetting:-msup(Typesetting:-mn( 

b)Typesetting:-mrow(Typesetting:-msup(Typesetting:-mfenced(Typesetting:-mrow(Typesetting:-mo( 

c)Typesetting:-mrow(Typesetting:-msup(Typesetting:-mn( 

d)Typesetting:-mrow(Typesetting:-msup(Typesetting:-mn( 

 

V?rifier  La r?ponse est :  Embedded component 

 

 

Question 21 

 

Soit Typesetting:-mrow(Typesetting:-msup(Typesetting:-mi( ?quivaut ? ; 

 

a)Typesetting:-mrow(Typesetting:-msup(Typesetting:-mfenced(Typesetting:-mrow(Typesetting:-mi( 

b)Typesetting:-mrow(Typesetting:-msup(Typesetting:-mfenced(Typesetting:-mrow(Typesetting:-mi( 

c)Typesetting:-mrow(Typesetting:-msup(Typesetting:-mfenced(Typesetting:-mrow(Typesetting:-mi( 

d)Aucune de ces r?ponses 

 

V?rifier  La r?ponse est :  Embedded component 

 

 

Question 22 

 

Trouver les valeurs de ? a ? et ? b ? qui satisfont le syst?me d'?quations lin?aires Typesetting:-mrow(Typesetting:-mn( et Typesetting:-mrow(Typesetting:-mn( 

 

a)Typesetting:-mrow(Typesetting:-mi( et Typesetting:-mrow(Typesetting:-mi( 

b)Typesetting:-mrow(Typesetting:-mi( et Typesetting:-mrow(Typesetting:-mi( 

c)Typesetting:-mrow(Typesetting:-mi( et Typesetting:-mrow(Typesetting:-mi( 

d)Typesetting:-mrow(Typesetting:-mi( et Typesetting:-mrow(Typesetting:-mi( 

 

V?rifier  La r?ponse est :  Embedded component 

 

 

Question 23 

 

D?composes le plus possible Typesetting:-mrow(Typesetting:-mn( 

 

a)Typesetting:-mrow(Typesetting:-msup(Typesetting:-mi( 

b)Typesetting:-mrow(Typesetting:-mn( 

c)Typesetting:-mrow(Typesetting:-mn( 

d)Typesetting:-mrow(Typesetting:-msup(Typesetting:-mi( 

 

V?rifier  La r?ponse est :  Embedded component 

 

 

Question 24 

 

Soit un triangke quelconque.  Nous savons que ∠DBA = Typesetting:-mrow(Typesetting:-msup(Typesetting:-mn(et ∠CDA = Typesetting:-mrow(Typesetting:-msup(Typesetting:-mn(.  Quelle est l'angle ∠BAD ? 

 

Image 

 

a)Typesetting:-mrow(Typesetting:-msup(Typesetting:-mn( 

b)Typesetting:-mrow(Typesetting:-msup(Typesetting:-mn( 

c)Typesetting:-mrow(Typesetting:-msup(Typesetting:-mn( 

d)Typesetting:-mrow(Typesetting:-msup(Typesetting:-mn( 

 

V?rifier  La r?ponse est :  Embedded component 

 

 

Question 25 

 

Lequel des graphiques suivants repr?sente la fonction Typesetting:-mrow(Typesetting:-msup(Typesetting:-mo( ? 

 

a)Image 

b)Image 

c)Image 

d)Image 

 

V?rifier  La r?ponse est :  Embedded component 

 

 

Question 26 

 

Typesetting:-mrow(Typesetting:-msup(Typesetting:-mfenced(Typesetting:-mrow(Typesetting:-mi( 

 

a)Typesetting:-mrow(Typesetting:-msup(Typesetting:-mi( 

b)Typesetting:-mrow(Typesetting:-msup(Typesetting:-mi( 

c)Typesetting:-mrow(Typesetting:-msup(Typesetting:-mi( 

d)Typesetting:-mrow(Typesetting:-msup(Typesetting:-mi( 

 

V?rifier  La r?ponse est :  Embedded component 

 

 

Question 27 

 

Typesetting:-mrow(Typesetting:-msqrt(Typesetting:-mrow(Typesetting:-mn( 

 

a)Typesetting:-mrow(Typesetting:-mn( 

b)Typesetting:-mrow(Typesetting:-mn( 

c)Typesetting:-mrow(Typesetting:-mn( 

d)Typesetting:-mrow(Typesetting:-mn( 

 

V?rifier  La r?ponse est :  Embedded component 

 

 

Question 28 

 

Simplifier a maximum l'expression Typesetting:-mrow(Typesetting:-mfrac(Typesetting:-msqrt(Typesetting:-mrow(Typesetting:-mi( 

 

a)Typesetting:-mrow(Typesetting:-mi( 

b)Typesetting:-mrow(Typesetting:-msup(Typesetting:-mfenced(Typesetting:-mrow(Typesetting:-mi( 

c)Typesetting:-mrow(Typesetting:-mfrac(Typesetting:-mn( 

d)Typesetting:-mrow(Typesetting:-msup(Typesetting:-mfenced(Typesetting:-mrow(Typesetting:-mi( 

 

V?rifier  La r?ponse est :  Embedded component 

 

Question 29 

 

Faire la division du polynomiale de Typesetting:-mrow(Typesetting:-mfrac(Typesetting:-mfenced(Typesetting:-mrow(Typesetting:-mn( 

 

a)Typesetting:-mrow(Typesetting:-mfrac(Typesetting:-mfenced(Typesetting:-mrow(Typesetting:-mn( 

b)Typesetting:-mrow(Typesetting:-mn( 

c)Typesetting:-mrow(Typesetting:-mfrac(Typesetting:-mfenced(Typesetting:-mrow(Typesetting:-mn( 

d)Aucune de ces r?ponses. 

 

V?rifier  La r?ponse est :  Embedded component 

 

 

Question 30 

 

Trouvez l'?quation de la droite sous la forme Typesetting:-mrow(Typesetting:-mi( passant par les points Typesetting:-mrow(Typesetting:-mfenced(Typesetting:-mrow(Typesetting:-mn( et Typesetting:-mrow(Typesetting:-mfenced(Typesetting:-mrow(Typesetting:-mn(. 

 

a)Typesetting:-mrow(Typesetting:-mi( 

b)Typesetting:-mrow(Typesetting:-mi( 

c)Typesetting:-mrow(Typesetting:-mi( 

d)Typesetting:-mrow(Typesetting:-mi( 

 

V?rifier  La r?ponse est :  Embedded component 

 


Legal Notice: The copyright for this application is owned by the author(s). Neither Maplesoft nor the author are responsible for any errors contained within and are not liable for any damages resulting from the use of this material. This application is intended for non-commercial, non-profit use only. Contact the author for permission if you wish to use this application in for-profit activities.
 

 

Image