Example 8-2-16 - Maple Help
For the best experience, we recommend viewing online help using Google Chrome or Mozilla Firefox.

Online Help

All Products    Maple    MapleSim


Chapter 8: Infinite Sequences and Series

Section 8.2: Series

 

Example 8.2.16

a) 

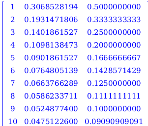
Show that Leibniz' theorem on the convergence of alternating series applies to the alternating harmonic series. (See Table 8.2.2.)

b) 

Use Maple to show that the sequence of partial sums converges to ln2.

c) 

Test the claim that a partial sum is closer to the sum than the magnitude of the first neglected term.

<< Previous Example   Section 8.2    Next Example >>

© Maplesoft, a division of Waterloo Maple Inc., 2025. All rights reserved. This product is protected by copyright and distributed under licenses restricting its use, copying, distribution, and decompilation.

 

For more information on Maplesoft products and services, visit www.maplesoft.com