Chapter 2: Space Curves
Section 2.7: Frenet-Serret Formalism
Example 2.7.13
If C is the curve given by Rp=p i+3 p2 j+p3 k in Example 2.6.2,
Obtain its Darboux vector d.
Verify the three identities in Table 2.7.3.
Show that T′×T″=κ2d, where primes denote differentiation with respect to arc length s.
Solution
Mathematical Solution
Part (a)
By the usual techniques, obtain the items in Table 2.7.13(a).
T=19⁢p4+36⁢p2+16⁢p9⁢p4+36⁢p2+13⁢p29⁢p4+36⁢p2+1
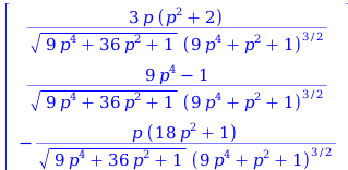
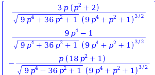
N=−3⁢p⁢p2+29⁢p4+36⁢p2+1⁢9⁢p4+p2+1−9⁢p4−19⁢p4+36⁢p2+1⁢9⁢p4+p2+1p⁢18⁢p2+19⁢p4+36⁢p2+1⁢9⁢p4+p2+1
B=3⁢p29⁢p4+p2+1−p9⁢p4+p2+119⁢p4+p2+1
ρ=9⁢p4+36⁢p2+1
κ=6⁢9⁢p4+p2+19⁢p4+36⁢p2+13/2
τ=19⁢p4+p2+1
Table 2.7.13(a) Frenet formalism
The Darboux vector is then
d=τ T+κ B
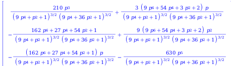
=19⁢p4+p2+119⁢p4+36⁢p2+16⁢p9⁢p4+36⁢p2+13⁢p29⁢p4+36⁢p2+1+6⁢9⁢p4+p2+19⁢p4+36⁢p2+13/23⁢p29⁢p4+p2+1−p9⁢p4+p2+119⁢p4+p2+1
=162⁢p6+27⁢p4+54⁢p2+19⁢p4+p2+1⁢9⁢p4+36⁢p2+13/2210⁢p39⁢p4+p2+1⁢9⁢p4+36⁢p2+13/23⁢9⁢p6+54⁢p4+3⁢p2+29⁢p4+p2+1⁢9⁢p4+36⁢p2+13/2
Part (b)
The derivatives of the vectors in the TNB-frame must be taken with respect to the arc length s. Since R is given in terms of the parameter p, the chain rule must be invoked. Hence, dds=1ρ ddp. Note that the results below hold for p>0.
dTdp1ρ=69⁢p4+36⁢p2+1−3 p (p2+2)1−9 p4p (18 p2+1) = d×T
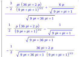
dNdp1ρ = 3⁢81⁢p10+486⁢p8+1278⁢p6+34⁢p4−3⁢p2−29⁢p4+36⁢p2+12⁢9⁢p4+p2+13/2−p⁢2997⁢p8+1296⁢p6+1998⁢p4+144⁢p2+379⁢p4+36⁢p2+12⁢9⁢p4+p2+13/2−1458⁢p10+243⁢p8−306⁢p6−1278⁢p4−54⁢p2−19⁢p4+36⁢p2+12⁢9⁢p4+p2+13/2 = d×N
dBdp1ρ = 19⁢p4+36⁢p2+1⁢9⁢p4+p2+13/23 p (p2+2)9 p4−1−p (18 p2+1) = d×B
Part (c)
The derivatives of the vectors in the TNB-frame must be taken with respect to the arc length s. Since R is given in terms of the parameter p, the chain rule must be invoked. Hence, dds=1ρ ddp.
dTdp1ρ×d2Tdp21ρ2= 369⁢p4+36⁢p2+19/2162 p6+27⁢p4+54⁢p2+1210 p33⁢9⁢p6+54⁢p4+3⁢p2+2 = κ2 d
Maple Solution - Interactive
Initialize
Tools≻Load Package: Student Vector Calculus
Loading Student:-VectorCalculus
Execute the BasisFormat command at the right, or use the task template to set the display of vectors as columns.
BasisFormatfalse:
Frenet formalism: ρ,κ,τ,T,N,B
Context Panel: Assign Name
R=p,3 p2,p3→assign
Keyboard the norm bars.
Calculus palette: Differentiation operator
Context Panel: Evaluate and Display Inline
Context Panel: Assign to a Name≻rho
ⅆⅆ p R = 9⁢p4+36⁢p2+1→assign to a nameρ
Write R. Context Panel: Evaluate and Display Inline
Context Panel: Student Vector Calculus≻Frenet Formalism≻Curvature≻p
Context Panel: Simplify≻Assuming Positive
Context Panel: Assign to a Name≻kappa
R = →curvature12⁢36⁢p3+72⁢p29⁢p4+36⁢p2+13+4⁢−3⁢p⁢36⁢p3+72⁢p9⁢p4+36⁢p2+13/2+69⁢p4+36⁢p2+12+4⁢−32⁢p2⁢36⁢p3+72⁢p9⁢p4+36⁢p2+13/2+6⁢p9⁢p4+36⁢p2+129⁢p4+36⁢p2+1→assuming positive6⁢9⁢p4+p2+19⁢p4+36⁢p2+13/2→assign to a nameκ
Context Panel: Student Vector Calculus≻Frenet Formalism≻Torsion≻p
Context Panel: Assign to a Name≻tau
R = →torsion19⁢p4+p2+19⁢p4+36⁢p2+12⁢9⁢p4+36⁢p2+13/2⁢9⁢p4+p2+19⁢p4+36⁢p2+1→assuming positive19⁢p4+p2+1→assign to a nameτ
Context Panel: Student Vector Calculus≻Frenet Formalism≻TNB Frame≻p
Context Panel: Assign to a Name≻Q
R
→TNB frame
→assuming positive
→assign to a name
Q
T=Q1→assign
N=Q2→assign
B=Q3→assign
Obtain the Darboux vector
Context Panel: Assign to a Name≻d
τ T+κ B = →assuming positive →assign to a named
Calculus palette: Differentiation operator or cross-product operator
T′=d×T
ⅆⅆ p T/ρ = →assuming positive
d×T = →assuming positive
N′=d×N
ⅆⅆ p N/ρ = →assuming positive
d×N = →assuming positive
B′=d×B
ⅆⅆ p B/ρ = →assuming positive
d×B = →assuming positive
Calculus palette: Differentiation operators
Common Symbols palette: Cross product operator Press the Enter key.
ⅆⅆ p Tρ×ⅆ2ⅆp2 Tρ2
κ2 d = 36⁢162⁢p6+27⁢p4+54⁢p2+19⁢p4+36⁢p2+19/27560⁢p39⁢p4+36⁢p2+19/2108⁢9⁢p6+54⁢p4+3⁢p2+29⁢p4+36⁢p2+19/2
Maple Solution - Coded
Install the Student VectorCalculus package.
withStudent:-VectorCalculus:
Execute the BasisFormat command.
Define the position vector R and obtain ρ,k,τ
Define R as per Table 1.1.1.
R≔p,3 p2,p3:
Apply the Norm command to the result of the diff command.
ρ≔NormdiffR,p = 9⁢p4+36⁢p2+1
Apply the simplify and Curvature commands.
κ≔simplifyCurvatureR assuming p>0
6⁢9⁢p4+p2+19⁢p4+36⁢p2+13/2
Apply the simplify and Torsion commands.
τ≔simplifyTorsionR assuming p>0
19⁢p4+p2+1
Obtain and display the vectors of the TNB-frame
Apply the TNBFrame command to R, assigning the result to a temporary name.
Use the map command to simplify the three vectors of the TNB-frame. (This two-step process for obtaining the TNB-frame overcomes a deep-seated problem with simplifying a rooted vector carrying assumptions.)
Extract and display the individual vectors of the TNB-frame.
Temp≔TNBFrameR:Q≔mapsimplify,Temp assuming p>0:T,N,B≔Q1,Q2,Q3
Implement the definition of the Darboux vector, assigning it to a temporary name. To this temporary vector, apply the simplify command and call the result the Darboux vector. (This two-step process for obtaining the Darboux vector overcomes a deep-seated problem with simplifying a rooted vector carrying assumptions.)
Temp≔τ T+κ B: d≔simplifyTemp assuming p>0
In the following calculations, use the diff, the CrossProduct, and simplify commands as needed.
simplifydiffT,p/ρ assuming p>0
simplifyCrossProductd,T assuming p>0
simplifydiffN,pρ assuming p>0
simplifyCrossProductd,N assuming p>0
simplifydiffB,p/ρ assuming p>0
simplifyCrossProductd,B assuming p>0
simplifyCrossProductdiffT,pρ,diffT,p,pρ2
κ2 d
<< Previous Example Section 2.7 Next Example >>
© Maplesoft, a division of Waterloo Maple Inc., 2025. All rights reserved. This product is protected by copyright and distributed under licenses restricting its use, copying, distribution, and decompilation.
For more information on Maplesoft products and services, visit www.maplesoft.com
Download Help Document