e
Chapter 2: Space Curves
Section 2.8: Resolution of R″ along T and N
Example 2.8.4
If C is the curve given by Rp=1/1+p2 i+p j+p/1+p2 k, verify the validity of the decomposition R″p=ρ′T+κ ρ2N.
Solution
Mathematical Solution
By the usual techniques of the Frenet formalism, obtain the results in Table 2.8.4(a).
T=−2 pλ21−p2λ λ2+1
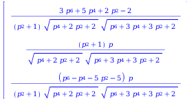
N=3⁢p6+5⁢p4+2⁢p2−2λ2 pp6−p4−5⁢p2−5⁢pλ λ2+1 λ3+1
ρ=λ2+1λ
κ=2λ3+1λ2+13/2
Table 2.8.4(a) Items from the Frenet formalism, where λ=1+p2
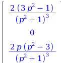
Then R″=11+ p232⁢3⁢p2−102⁢p⁢p2−3=2λ33 p2−10p (p2−3) and
ρ′T+κ ρ2N
=ddpλ2+1λT+2λ3+1λ2+13/2λ2+1λ2N
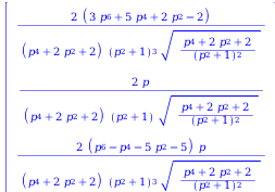
=−2 pλ2λ2+1 −2 pλ21−p2λ λ2+1+2⁢λ3+1λ2λ2+13⁢p6+5⁢p4+2⁢p2−2λ2 pp6−p4−5⁢p2−5⁢pλ λ2+1 λ3+1
=2λ3 λ2+1−p −2 pλ21−p2+3⁢p6+5⁢p4+2⁢p2−2λ2 pp6−p4−5⁢p2−5⁢p
=2λ3 λ2+1(3 p2−1)(λ2+1)0 p (p2−3) (λ2+1)
=2λ33 p2−10p (p2−3)
Indeed, the scalar projections of R″ on T and N, respectively, are
R″·T
=2λ4λ2+13 p2−10p (p2−3)·−2 pλ21−p2
=2λ4λ2+1−p⁢p2+12
=−2 pλ4λ2+1λ2
= −2 pλ2λ2+1=ρ′
and
R″·N
=2λ4 λ2+1 λ3+13 p2−10p (p2−3)·3⁢p6+5⁢p4+2⁢p2−2λ2 pp6−p4−5⁢p2−5⁢p
=2λ4 λ2+1 λ3+1p6+3⁢p4+3⁢p2+2 p2+12
=2λ4 λ2+1 λ3+1 λ3+1 λ2
=2λ3+1λ2 λ2+1
=2λ3+1λ2+13/2λ2+1λ2=κ ρ2
Maple Solution - Interactive
Set R″ as an Atomic Identifier, and invoke it as an Atomic Identifier each time it is called. (Also, note the use of a smaller font for many of the expressions generated below. The author believes that it is easier to read the compact, but smaller print, than it is to read larger print in which multiple line-breaks occur.)
Initialize
Tools≻ Load Package: Student Vector Calculus
Loading Student:-VectorCalculus
Execute the BasisFormat command at the right, or use the task template.
BasisFormatfalse:
Write R=… as per Table 1.1.1.
Context Panel: Assign Name
R=11+p2,p,p1+p2→assign
Obtain ρ=R′p and R″p
Keyboard the norm bars.
Calculus palette: Differentiation operator
Context Panel: Evaluate and Display Inline
Context Panel: Simplify≻Assuming Positive
Context Panel: Assign to a Name≻rho
ⅆⅆ p R = p4+2⁢p2+2p2+12→assuming positivep4+2⁢p2+2p2+1→assign to a nameρ
Context Panel: Simplify≻Simplify
Context Panel: Assign to a Name≻Temp
Set R″ as an Atomic Identifier and equate to Temp.
ⅆ2ⅆp2 R = = simplify 2⁢3⁢p2−1p2+1302⁢p⁢p2−3p2+13→assign to a nameTempR″=Temp →assign
Obtain T
Write R.
Context Panel: Student Multivariate Calculus≻Frenet Formalism≻Tangent Vector≻p
Context Panel: Student Multivariate Calculus≻Normalize≻Euclidean
Context Panel: Simplify≻Assuming Real
Context Panel: Assign to a Name≻T
R = →tangent vector →Euclidean-normalize →assuming real →assign to a nameT
Obtain N
Context Panel: Student Multivariate Calculus≻Frenet Formalism≻Principal Normal≻p
Context Panel: Assign to a Name≻N
R = →principal normal →2-normalize →assuming real →assign to a nameN
Obtain the curvature κ
Context Panel: Student Multivariate Calculus≻Frenet Formalism≻Curvature≻p
Context Panel: Assign to a Name≻kappa
R = →curvature12⁢4⁢p⁢4⁢p3+4⁢pp2+12−4⁢p4+2⁢p2+2⁢pp2+13p4+2⁢p2+2p2+123/2⁢p2+12+8⁢p2p4+2⁢p2+2p2+12⁢p2+13−2p4+2⁢p2+2p2+12⁢p2+122+p2+16⁢4⁢p3+4⁢pp2+12−4⁢p4+2⁢p2+2⁢pp2+132p4+2⁢p2+23+4⁢−12⁢1p2+1−2⁢p2p2+12⁢4⁢p3+4⁢pp2+12−4⁢p4+2⁢p2+2⁢pp2+13p4+2⁢p2+2p2+123/2+−6⁢pp2+12+8⁢p3p2+13p4+2⁢p2+2p2+122p4+2⁢p2+2p2+12→assuming real2⁢p6+3⁢p4+3⁢p2+2p4+2⁢p2+23/2→assign to a nameκ
Compute ρ′T+κ ρ2N and compare with R″
ⅆⅆ p ρ T+κ ρ2 N = →assuming real
R″ =
Compare the scalar projection of R″ on T with ρ′
Common Symbols palette: Dot product operator
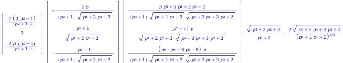
R″·T = −4⁢3⁢p2−1⁢pp2+14⁢p4+2⁢p2+2−2⁢p⁢p2−3⁢p2−1p2+14⁢p4+2⁢p2+2= simplify −2⁢pp4+2⁢p2+2⁢p2+12
ⅆⅆ p ρ = −2⁢p4+2⁢p2+2⁢pp2+12+12⁢4⁢p3+4⁢pp2+1⁢p4+2⁢p2+2→assuming real−2⁢pp4+2⁢p2+2⁢p2+12
Compare the scalar projection of R″ on N with κ ρ2
Common Symbols palette: Cross product operator
R″·N = 2⁢3⁢p2−1⁢3⁢p6+5⁢p4+2⁢p2−2p2+14⁢p4+2⁢p2+2⁢p6+3⁢p4+3⁢p2+2+2⁢p2⁢p2−3⁢p6−p4−5⁢p2−5p2+14⁢p4+2⁢p2+2⁢p6+3⁢p4+3⁢p2+2= simplify 2⁢p6+3⁢p4+3⁢p2+2p4+2⁢p2+2⁢p2+12
κ ρ2 = 2⁢p6+3⁢p4+3⁢p2+2p4+2⁢p2+2⁢p2+12= simplify 2⁢p6+3⁢p4+3⁢p2+2p4+2⁢p2+2⁢p2+12
Maple Solution - Coded
To assign to the symbol R″, it must be converted to an Atomic Identifier. Any reference to it thereafter must also be written as an Atomic Identifier.
Install the Student VectorCalculus package.
withStudent:-VectorCalculus:
Apply the BasisFormat command.
Define R and obtain R″,T,N,ρ,κ
Define C as a position vector.
R≔1/1+p2,p,p/1+p2:
Apply the diff command to obtain R″, setting the name R″ as an Atomic Identifier.
R″≔simplifydiffR,p,p:
Obtain T with the TangentVector and simplify commands.
Temp≔TangentVectorR,normalized:T≔simplifyTemp assuming p∷real:
Obtain N with the PrincipalNormal and simplify commands.
Temp≔PrincipalNormalR,normalized:N≔simplifyTemp assuming p∷real:
Obtain ρ with the diff and simplify commands.
ρ≔simplifyNormdiffR,p assuming p∷real:
Obtain κ with the Curvature and simplify commands.
κ≔simplifyCurvatureR assuming p∷real:
Display R″,T,N,ρ,κ
R″,T,N,ρ,κ
Obtain the right-hand side of the decomposition formula
Apply the diff and simplify commands to construct the right-hand side of the decomposition formula.
simplifydiffρ,p T+κ ρ2 N
Obtain the scalar projection of R″ on T and compare to ρ′
Apply the DotProduct and simplify commands.
simplifyDotProductR″,T
−2⁢pp4+2⁢p2+2⁢p2+12
Obtain ρ′ via the diff and simplify commands.
simplifydiffρ,p
Obtain the scalar projection of R″ on N and compare to κ ρ2
simplifyDotProductR″,N
2⁢p6+3⁢p4+3⁢p2+2p4+2⁢p2+2⁢p2+12
Apply the simplify command.
simplifyκ ρ2
<< Previous Example Section 2.8 Next Example >>
© Maplesoft, a division of Waterloo Maple Inc., 2025. All rights reserved. This product is protected by copyright and distributed under licenses restricting its use, copying, distribution, and decompilation.
For more information on Maplesoft products and services, visit www.maplesoft.com
Download Help Document