Chapter 9: Vector Calculus
Section 9.2: Vector Objects
Example 9.2.13
Express in Cartesian coordinates the polar vector field whose components are the constants a and b.
Solution
Mathematical Solution
From Example 9.2.8, the polar basis vectors are
er=∂R∂r = cos(θ)sin(θ) and eθ=1r∂R∂θ = 1r −r sin(θ)r cos(θ)=−sin(θ)cos(θ)
where R is the position vector to the point x,y=r cosθ,r sinθ.
Consequently,
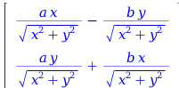
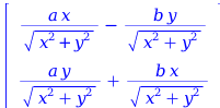
F=a er+b eθ = a cos(θ)sin(θ)+b −sin(θ)cos(θ) = a x/ry/r+b −y/rx/r
so the Cartesian form of F is a x−b yx2+y2 i+a y+b xx2+y2 j.
Maple Solution - Interactive
Initialize
Tools≻Load Package: Student Vector Calculus
Loading Student:-VectorCalculus
Tools≻Tasks≻Browse: Calculus - Vector≻ Vector Algebra and Settings≻ Display Format for Vectors
Press the Access Settings button and select "Display as Column Vector"
Display Format for Vectors
Define the polar field F
Write a free vector. Context Panel: Evaluate and Display Inline
Context Panel: Student Vector Calculus≻Conversions≻Apply Co-ordinate System (Complete the "Choose Co-ordinate system" dialog as per the figure to the right.)
Context Panel: Student Vector Calculus≻Conversions≻To Vector Field
Context Panel: Assign to a Name≻F
a,b = ab→apply coordinatesab→to Vector Fieldab→assign to a nameF
Express F in Cartesian coordinates
Write the name F. Context Panel: Evaluate and Display Inline
Context Panel: Student Vector Calculus≻Conversions≻Change Co-ordinate System (Provide the coordinate-variable names in the ensuing "Specify coordinates" dialog.)
F = →change coordinates
Maple Solution - Coded
Load the Student VectorCalculus package and execute the BasisFormat command.
withStudent:-VectorCalculus:BasisFormatfalse:
Define F=a er+b eθ as a polar vector field
Apply the VectorField command.
F≔VectorFielda,b,polarr,θ:
Change to Cartesian coordinates
Apply the MapToBasis command.
MapToBasisF,cartesianx,y
<< Previous Example Section 9.2 Next Example >>
© Maplesoft, a division of Waterloo Maple Inc., 2025. All rights reserved. This product is protected by copyright and distributed under licenses restricting its use, copying, distribution, and decompilation.
For more information on Maplesoft products and services, visit www.maplesoft.com
Download Help Document