MaplePortal/Student/Resources - Maple Help
For the best experience, we recommend viewing online help using Google Chrome or Mozilla Firefox.

Online Help

All Products    Maple    MapleSim


Home : Support : Online Help : MaplePortal/Student/Resources

Student Resources

Back to Student Portal

 

Learn more about resources for students.  Topics covered include Tutors, Task Templates, Study Guides, and the Student package.

 

Refer to Help>Quick Reference for basic getting started tips.

 

Tutors

Task Templates

Study Guides

Student Package

Tutors

Maple has many built-in tutors to aid the teaching and learning of various mathematical concepts. These tutors expose material typically found in first- and second-year courses in an undergraduate mathematics or engineering program, covering such subjects as linear algebra, precalculus, single-variable and multivariable calculus, vector calculus, differential equations, complex variables and numerical analysis. Here are some of the tutors available in Maple.

 

Linear Algebra

 

Eigenvector Plot

Graphically display the eigenvectors of a matrix

Eigenvalues

Find the eigenvalues of a matrix

Eigenvectors

Find the eigenvectors of matrix

Gauss-Jordan Elimination

Step by step reduction of a matrix to reduced row echelon form

Gaussian Elimination

Step by step reduction of a matrix to row echelon form

Linear system plot

Visually display a linear system

Linear Transform Plot

Visually display a linear transformation

Matrix Builder

Build matrices of variable sizes

Matrix Inverse

Step by step calculation of the inverse of a matrix

Linear System Solving

Solve linear systems using Gaussian or Gauss-Jordan Elimination

 

Precalculus

 

Function Composition

Plot functions and their compositions

Conic Sections

Graph quadratic relations and analyze the associated conic section

Slopes

Explore slopes of secant lines

Limits

Intuitively determine limits

Linear Inequalities

Plot the feasible region determined by linear inequalities

Lines

Plot a straight line and obtain its equation

Polynomials

Plot polynomial functions

Rational Functions

Plot rational functions and obtain equations for their asymptotes

Standard Functions

Translate and scale the elementary functions

 

Calculus in One Variable

 

Antiderivatives

Plot functions and their antiderivatives

Approximate Integration and Riemann Sums

Calculate an approximate integral of a function

Arc Lengths

Plot and calculate arc/curve lengths

Curve Analysis

Provide a complete graphical analysis of a function

Derivatives

Plot functions and their derivatives

Differentiation Methods

Find the derivative of a function using various differential rules

Function Average

Plot a function and calculate its average value

Function Inverse

Find and plot the inverse of a function

Integration Methods

Find the integral of a function using various integration rules

Limit Methods

Resolve limits using various limit laws

Mean Value Theorem

Graphically illustrate the Mean Value Theorem on a function

Newton's Method

Find the root of a function using Newton's Method

Tangents and Secants

Visually explore tangents and secants

Surface of Revolution

Plot and calculate the Surface of Revolution of a function

Taylor Approximation

Find the Taylor Approximation of a curve to a specified order

Volume of Revolution

Plot and calculate the Volume of Revolution of a function

 

Calculus in Several Variables

 

Approximate Integration and Riemann Sums

Approximate a multivariate integral using Riemann sums

Cross sections

Plot the resulting shape when a plane intersects a surface

Directional Derivatives

Calculate and plot the directional derivative of a multivariate function

Gradient

Calculate and plot gradients of a multivariate function

Taylor Approximation

Plot the Taylor approximation of a bivariate function

 

Vector Calculus

 

Space Curves

Plot curves in three-dimensional space

Vector Fields

Graphically illustrate the flow of a vector field

 

Differential Equations

 

DE Plots

Generate phase portraits for various autonomous systems of ODEs

Complex Variables

Branch Cuts

Explore branch cuts for the inverse trig and hyperbolic functions

 

Complex Arithmetic

Visualize complex arithmetic

Harmonic Conjugate

Compute the harmonic conjugate of a harmonic function

Numerical Analysis

Euler's Method

Numerically approximate a solution to an initial value problem using Euler's method

 

Initial Value Problem

Numerically approximate a solution to an initial value problem

Iterative Formula

Compute an iterative formula to numerically approximate the solution to a linear system

Matrix Decomposition

Factor a matrix using various methods, including LU and Cholesky decomposition

 

 

Return to the top of the page

Task Templates

A Task Template is a template that helps you perform a specific task, such as performing a mathematical computation, constructing a Maple object, or creating a mathematical document. For an overview of using tasks, see the using task templates help page. All Task Templates are located in the help system; alternatively, to explore all Task Templates available in Maple in a convenient browser, go to Tools → Tasks → Browse....

 

The example below illustrates the insertion of content from task templates into a blank worksheet in Document mode. Before you continue, it is recommended that you familiarize yourself with entering simple expressions in Maple.

 

Step

Description

Illustration

1

To explore the Task Templates, go to Tools → Tasks → Browse...  Select the task you want to use from the Table of Contents.

2

Choose the amount of content to insert into your worksheet.  Click Copy Task to Clipboard to copy the entire task contents; click Insert Default Content to insert content as set in the Options dialog; click Insert Minimal Content to insert only the commands.

Check Insert into New Worksheet to open a worksheet in a new tab for the task.

3

Replace the placeholders, denoted by purple text, with your values.  Press [Tab] to move to the next placeholder.  Re-execute the commands to perform your calculation.

2xsiny+cosx Iy x I3+y I2

2xsiny+Icosx+Iyxy

(1)

evalcℑ

cosx+yx

(2)

Study Guides

The Clickable Calculus Study Guides for Precalculus, Calculus, and Multivariate Calculus are available directly in Maple.

Maple study guides are interactive Maple e-books in core math subjects.  Each study guide covers fundamental concepts through visualization, practice problems, and theory.  Learn from hundreds of worked problems, and then apply these same Clickable Math tools to check your own homework and get extra practice.

Explore these guides:

Precalculus Study Guide

• 

Provides a focused review of precalculus

• 

Covers 11 key topics

• 

Each problem is solved four ways: a mathematical solution (that is, solve as you'd see in a textbook), using an interactive Maplet, using clickable techniques, and using Maple commands.

Mathematical solution

Maplet solution

Interactive solution

 

Calculus Study Guide

• 

Comprehensive coverage of both differential and integral calculus

• 

Supplements your textbook with explanations, plots, and animations

• 

Use Maple to work through example problems.

Plot and animations enhance lessons.

Step-by-step solutions

 

Multivariate Calculus Study Guide

• 

Visits all topics from a standard multivariate calculus course

• 

Focus on understanding new ideas and gaining a deep understanding

• 

Problems worked in various methods, including a mathematical solution, an interactive Maple solution, and a coded Maple solution

 

The same problem shown using interactive steps and using Maple commands.

 

Student Package

The Student package contains content related to specific mathematics courses.

• 

Basics

• 

Calculus 1

• 

Linear Algebra

• 

Multivariate Calculus

• 

Numerical Analysis

• 

ODEs

• 

Precalculus

• 

Statistics

• 

Vector Calculus

 

These packages contain commands for computation, problem solving, and visualization as well as interactive tutors and example worksheets.

 

Use the approximate integration tutor

See an animation of Newton's method

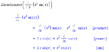
See the steps in a differentiation problem

Solve A.x=b

The Student packages contain tutors, visualization aides, and problem solving commands.

See the help pages for more details.

 

Note for non-Windows users: The keystrokes given in this document are for Windows.  There will be differences for other platforms. If you are using a different platform, see Shortcut Keys.

 

Back to Student Portal