Chapter 4: Integration
Section 4.4: Integration by Substitution
Example 4.4.1
Evaluate the indefinite integral ∫3 x−2ⅆx.
Solution
Mathematical Solution
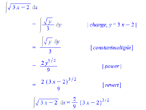
Set y=3 x−2 so that dy=3 dx and dx=dy/3. Under this change of variable, the given indefinite integral becomes
∫yⅆy3=13∫y1/2 ⅆy=13 y3/23/2=293 x−23/2
Of course, there are settings in which the addition of an arbitrary constant is deemed essential.
Interactive Maple Solutions
Figures 4.4.1(a), 4.4.1(b), and Table 4.4.1(a) detail how to obtain a stepwise solution interactively via the tutor.
Figure 4.4.1(a) shows the state of the Integration Methods tutor when the change of variable y=3 x−2 is applied to the given definite integral.
Clicking the Change button brings up the dialog box shown in Figure 4.4.1(b). The rule for the substitution is entered, and the Apply button pressed.
Figure 4.4.1(b) Change variable dialog
Figure 4.4.1(a) Integration Methods tutor
Table 4.4.1(a) lists the complete stepwise solution available from the tutor.
Table 4.4.1(a) Stepwise evaluation via Integration Methods tutor
After the antiderivative Fy is found, the Revert rule returns Fyx, that is, reverses the substitution after the integral has been evaluated.
It is interesting to note that Maple might make a different substitution, as per Table 4.4.1(b) where the Context Panel's Student Calculus1≻All Solution Steps option is applied to the indefinite integral.
Tools≻Load Package: Student Calculus 1
Loading Student:-Calculus1
∫3 x−2ⅆx→show solution stepsIntegration Steps∫3⁢x−2ⅆx▫1. Apply a change of variables to rewrite the integral in terms of u◦Let3⁢x−2=u2◦Differentiate both sidesⅆⅆx3⁢x−2=ⅆⅆuu2◦Evaluate3⁢dx=2⁢u⁢du◦Substitute the values back into the original∫3⁢x−2ⅆx=∫2⁢u23ⅆuThis gives:∫2⁢u23ⅆu▫2. Apply the constant multiple rule to the term ∫2⁢u23ⅆu◦Recall the definition of the constant multiple rule∫C⁢f⁡uⅆu=C⁢∫f⁡uⅆu◦This means:∫2⁢u23ⅆu=2⁢∫u2ⅆu3We can rewrite the integral as:2⁢∫u2ⅆu3▫3. Apply the power rule to the term ∫u2ⅆu◦Recall the definition of the power rule, for n ≠ -1∫unⅆu=un+1n+1◦This means:∫u2ⅆu=u2+12+1◦So,∫u2ⅆu=u33We can rewrite the integral as:2⁢u39▫4. Revert change of variable◦Variable we defined in step 13⁢x−2=u2This gives:2⁢3⁢x−2329
Table 4.4.1(b) Stepwise evaluation via the Context Panel's "All Solution Steps" option
Maple has made the substitution u2=3 x−2, so that u=3 x−2 and 2 u du=3 dx. Thus, dx=23u du and the new integrand is u 23u=23u2. Of course, the final results for the two approaches will agree, but some of the intermediate steps will not.
Note that an interactive solution is available via the Context Panel, as per the figure to the right.
Coded Solutions
There is a change command in the Rules section of the Student Calculus1 package, and a Change command in the IntegrationTools package. The change command in the Calculus1 package is essentially the one embedded in the Integration Methods tutor.
Expression palette: Indefinite integral Context Panel: 2-D Math≻Convert To≻Inert Form
Context Panel: Assign to a Name≻q
∫3 x−2ⅆx→assign to a nameq
Student:-Calculus1:-Rulechange,y=3 x−2q = ∫3⁢x−2ⅆx=∫y3ⅆy
IntegrationTools:-Changeq,y=3 x−2 = ∫13⁢yⅆy
The change command is part of a larger structure of stepwise solving tools best left to the implementation in the tutors; the Change command is more useful in a "production" mode where results are of uppermost importance.
<< Previous Section Section 4.4 Next Example >>
© Maplesoft, a division of Waterloo Maple Inc., 2025. All rights reserved. This product is protected by copyright and distributed under licenses restricting its use, copying, distribution, and decompilation.
For more information on Maplesoft products and services, visit www.maplesoft.com
Download Help Document