Chapter 4: Integration
Section 4.4: Integration by Substitution
Example 4.4.3
Evaluate the indefinite integral ∫x 1−3 x2 ⅆx.
Solution
Mathematical Solution
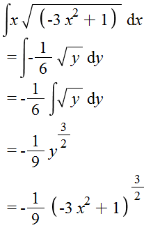
Set y=1−3 x2 so that dy=−6 x dx and x dx=−dy6. Under this change of variable, the given indefinite integral becomes
∫y dy−6= −16∫yⅆy= −16y3/23/2= −191−3 x23/2
Of course, there are settings in which the addition of an arbitrary constant is deemed essential.
An alternate approach to making the substitution y=1−3 x2 starts with the recognition that dy=−6 x dx, and that outside the square root there's an x, but not a factor of −6. So, insert this factor inside the integral, and compensate with a factor of −1/6 outside the integral, to obtain −16∫yⅆy immediately.
Stepwise Maple Solutions
Figure 4.4.3(a) shows the part of the tutor containing the stepwise solution:
Change: Set y=1−3 x2
Constant Multiple: Move the constant factor −1/6
Power Rule: Add 1 to the power and divide by the new power.
Revert: Replace y with 1−3 x2.
Figure 4.4.3(a) Integration Methods tutor
It is interesting to note that Maple might make a different substitution, as per Table 4.4.3(a) where the Context Panel's "Student Calculus1≻All Solution Steps" option is applied to the inert form of the indefinite integral.
Tools≻Load Package: Student Calculus 1
Loading Student:-Calculus1
∫x 1−3 x2 ⅆx→show solution stepsIntegration Steps∫x⁢−3⁢x2+1ⅆx▫1. Apply a change of variables to rewrite the integral in terms of u◦Let−3⁢x2+1=u2◦Differentiate both sidesⅆⅆx−3⁢x2+1=ⅆⅆuu2◦Evaluate−6⁢x⁢dx=2⁢u⁢du◦Isolate equation for xx=−u3◦Substitute the values back into the original∫x⁢−3⁢x2+1ⅆx=∫−u23ⅆuThis gives:∫−u23ⅆu▫2. Apply the constant multiple rule to the term ∫−u23ⅆu◦Recall the definition of the constant multiple rule∫C⁢f⁡uⅆu=C⁢∫f⁡uⅆu◦This means:∫−u23ⅆu=−∫u2ⅆu3We can rewrite the integral as:−∫u2ⅆu3▫3. Apply the power rule to the term ∫u2ⅆu◦Recall the definition of the power rule, for n ≠ -1∫unⅆu=un+1n+1◦This means:∫u2ⅆu=u2+12+1◦So,∫u2ⅆu=u33We can rewrite the integral as:−u39▫4. Revert change of variable◦Variable we defined in step 1−3⁢x2+1=u2This gives:−−3⁢x2+1329
Table 4.4.3(a) Stepwise evaluation via the Context Panel's "All Solution Steps" option
Maple has made the substitution u2=1−3 x2, so that u=1−3 x2 and 2 u du=−6 x dx. Thus, x dx=−26u du and the new integrand is −13u2. Of course, the final results for the two approaches will agree, but some of the intermediate steps will not.
Note that an annotated stepwise solution is available via the Context Panel with the "All Solution Steps" option.
The rules of integration can also be applied via the Context Panel, as per the figure to the right.
<< Previous Example Section 4.4 Next Example >>
© Maplesoft, a division of Waterloo Maple Inc., 2025. All rights reserved. This product is protected by copyright and distributed under licenses restricting its use, copying, distribution, and decompilation.
For more information on Maplesoft products and services, visit www.maplesoft.com
Download Help Document