Chapter 4: Integration
Section 4.4: Integration by Substitution
Example 4.4.4
Evaluate the indefinite integral ∫x3 x2+3 ⅆx.
Solution
Mathematical Solutions
Set y=x2+3 so that dy=2 x dx, x dx=dy/2, and x2=y−3. Under this change of variable, the given indefinite integral becomes
12∫y−3 y dy
=12∫y3/2 ⅆy−32∫yⅆy
=12 y5/25/2−32 y3/23/2
=x2+35/2/5−x2+33/2
Alternatively, set u2=x2+3 so that 2 u du=2 x dx, x dx=u du, and x2=u2−3. Under this change of variable, the given indefinite integral becomes
∫u2−3 u2 du
= ∫u4 du−3∫u2 du
=u5/5−u3
because u=x2+3.
Of course, there are settings in which the addition of an arbitrary constant is deemed essential.
Stepwise Maple Solutions
Left to its own devices, Maple selects u2=x2+3, the alternate substitution considered in the previous section. Table 4.4.4(a) contains the complete stepwise solution rendered by Maple.
Tools≻Load Package: Student Calculus 1
Loading Student:-Calculus1
∫x3⁢x2+3ⅆx→show solution stepsIntegration Steps∫x3⁢x2+3ⅆx▫1. Apply a change of variables to rewrite the integral in terms of u◦Letx2+3=u2◦Differentiate both sidesⅆⅆxx2+3=ⅆⅆuu2◦Evaluate2⁢x⁢dx=2⁢u⁢du◦Isolate equation for xx=u◦Substitute the values back into the original∫x3⁢x2+3ⅆx=∫u4−3⁢u2ⅆuThis gives:∫u4−3⁢u2ⅆu▫2. Apply the sum rule◦Recall the definition of the sum rule∫f⁡u+g⁡uⅆu=∫f⁡uⅆu+∫g⁡uⅆuf⁡u=u4g⁡u=−3⁢u2This gives:∫u4ⅆu+∫−3⁢u2ⅆu▫3. Apply the power rule to the term ∫u4ⅆu◦Recall the definition of the power rule, for n ≠ -1∫unⅆu=un+1n+1◦This means:∫u4ⅆu=u4+14+1◦So,∫u4ⅆu=u55We can rewrite the integral as:u55+∫−3⁢u2ⅆu▫4. Apply the constant multiple rule to the term ∫−3⁢u2ⅆu◦Recall the definition of the constant multiple rule∫C⁢f⁡uⅆu=C⁢∫f⁡uⅆu◦This means:∫−3⁢u2ⅆu=−3⁢∫u2ⅆuWe can rewrite the integral as:u55−3⁢∫u2ⅆu▫5. Apply the power rule to the term ∫u2ⅆu◦Recall the definition of the power rule, for n ≠ -1∫unⅆu=un+1n+1◦This means:∫u2ⅆu=u2+12+1◦So,∫u2ⅆu=u33We can rewrite the integral as:15⁢u5−u3▫6. Revert change of variable◦Variable we defined in step 1x2+3=u2This gives:x2+3525−x2+332
Table 4.4.4(a) Stepwise evaluation via the Context Panel's "Student Calculus1≻All Solution Steps" option
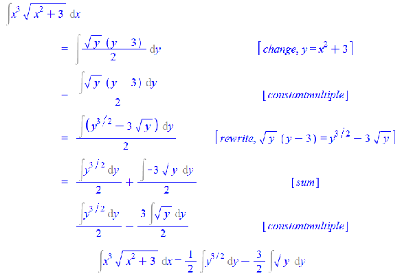
The solution following the substitution y=x2+3 implemented in the tutor is partly contained in Table 4.4.4(b).
Table 4.4.4(b) The substitution y=x2+3 implemented in the Integration Methods tutor
The "obvious" step of applying the Difference (or Sum) rule to ∫y y−3 ⅆy is not permitted by Maple.
Instead, the integrand must first be rewritten in expanded form via the Rewrite rule, as shown in Figure 4.4.4(a).
Figure 4.4.4(a) Application of the Rewrite rule
Left to its own devices, Maple would apply the variable change y=u2 to ∫y y−3 ⅆy, obtaining ∫2 u4−6 u2 ⅆu. The observant reader will see from Table 4.4.4(a) that this outcome is equivalent to making the substitution u2=x2+3 at the outset.
Note that an annotated stepwise solution is available via the Context Panel with the "All Solution Steps" option.
The rules of integration can also be applied via the Context Panel, as per the figure to the right.
<< Previous Example Section 4.4 Next Example >>
© Maplesoft, a division of Waterloo Maple Inc., 2025. All rights reserved. This product is protected by copyright and distributed under licenses restricting its use, copying, distribution, and decompilation.
For more information on Maplesoft products and services, visit www.maplesoft.com
Download Help Document