Chapter 6: Techniques of Integration
Section 6.3: Trig Substitution
Example 6.3.22
Evaluate the indefinite integral ∫x29 x2−4ⅆx.
Solution
Mathematical Solution
The substitution x=23secθ means dx=23secθtanθ dθ, and turns hx into 2 tanθ. From Figure 6.3.3, tanθ=129 x2−4. Hence, the evaluation of the given integral proceeds as follows.
∫x29 x2−4ⅆx
= ∫23secθ22 tanθ23secθtanθ dθ
=1627∫sec3θtan2θ dθ
=1627∫sec3θsec2θ−1 dθ
=1627∫sec5θ dθ−∫sec3θ dθ
=162714sec3θtanθ+34∫sec3θ dθ−∫sec3θ dθ
=162714sec3θtanθ−14∫sec3θ dθ
=427sec3θtanθ−427(secθtanθ+ln(secθ+tanθ))/2
=427sec3θtanθ−227secθtanθ−227lnsecθ+tanθ
=227secθtanθ2 sec2θ−1−227lnsecθ+tanθ
=22732x9 x2−42232x2−1−227ln(32x+9 x2−42)
=x369 x2−29 x2−4−227ln(32x+9 x2−42)
Line 3 is obtained by applying the trig identity tan2θ=sec2θ−1. Line 5 is obtained by applying the reduction formula derived in Example 6.2.9. The integral of sec3θ evaluated in line 7 is derived in Example 6.2.5. The absolute value in line 7 is retained in line 8 because the argument of the logarithm is negative for θ∈π,3 π/2. (The astute reader will recognize that the trig integral in this example is exactly the same as the one in Example 6.3.14.)
Maple Solution
Evaluate the given integral
Control-drag the integral and press the Enter key.
Context Panel: Simplify≻Simplify
Select the first two terms and choose Simplify/Size in the smart pop-up
136⁢x⁢9⁢x2−43/2+118⁢x⁢9⁢x2−4−281⁢ln⁡x⁢9+9⁢x2−4⁢9
= simplify
14⁢x3⁢9⁢x2−4−118⁢x⁢9⁢x2−4−227⁢ln⁡3⁢x+9⁢x2−4
→simplify, size
136⁢9⁢x3−2⁢x⁢9⁢x2−4−227⁢ln⁡3⁢x+9⁢x2−4
A stepwise solution that uses top-level commands except for one application of the Change command from the IntegrationTools package:
Initialization
Install the IntegrationTools package.
withIntegrationTools:
Let Q be the name of the given integral.
Q≔∫x29 x2−4ⅆx:
Change variables as per Table 6.3.1
Use the Change command to apply the change of variables x=23secθ.
q1≔ChangeQ,x=23secθ
q1≔∫8⁢sec⁡θ3⁢4⁢sec⁡θ2−4⁢tan⁡θ27ⅆθ
Simplify the radical to 2 tanθ. Note the restriction imposed on θ. (Maple believes that the sine and cosine functions are "simpler" than secants and tangents. )
q2≔simplifyq1 assuming θ∷RealRange0,π2
q2≔16⁢∫sin⁡θ2cos⁡θ5ⅆθ27
Use the value command to evaluate the integral, or follow the approach in Table 6.3.22(b), below.
To revert the change of variables, apply the substitution θ=arcsec3 x/2 via Context Panel: Evaluate at a Point≻θ=arcsec3⋅x/2
Control-drag the three non-logarithmic terms and press the Enter key.
Control Panel: Simplify≻Assuming Positive
Control-drag the resulting fraction, and to it (by Control-drag) append the log term, then Press the Enter key.
valueq2
4⁢sin⁡θ327⁢cos⁡θ4+2⁢sin⁡θ327⁢cos⁡θ2+2⁢sin⁡θ27−2⁢ln⁡sec⁡θ+tan⁡θ27
→evaluate at point
9−4x232⁢x436+9−4x232⁢x2162+2⁢9−4x281−2⁢ln⁡3⁢x2+x⁢9−4x2227
9−4x232⁢x436+9−4x232⁢x2162+2⁢9−4x281
→assuming positive
9⁢x3−2⁢x⁢9⁢x2−436
9⁢x3−2⁢x⁢9⁢x2−436−2⁢ln⁡sec⁡θ+tan⁡θ27
From Figure 6.3.3, sinθ=13 x9 x2−4, cosθ=23 x, and tanθ=129 x2−4.
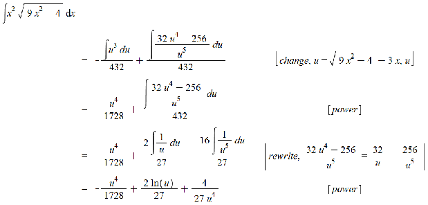
The stepwise solution provided by the tutor when the Constant, Constant Multiple, and Sum rules are taken as Understood Rules begins with the substitution u=9 x2−4−3 x and proceeds as shown in Table 6.3.22(a).
The change of variables selected by the tutor leads to −u3+32/u−256/u5/432, provided u≥2, and this corresponds to x≤−2/3. Since the tutor does not have provision for routine simplifications, it takes several steps, including invocation of the Rewrite rule to massage the expression into a form where the power rule of integration applies.
Table 6.3.22(a) The substitution u=9 x2−4−3 x made by the Integration Methods tutor
Table 6.3.22(b) shows the result when the Change rule x=23secθ is imposed on the tutor.
∫x2⁢9⁢x2−4ⅆx=8⁢∫sec⁡θ3⁢4⁢sec⁡θ2−4⁢tan⁡θⅆθ27change,x=2⁢sec⁡θ3=16⁢∫u2+1⁢u2ⅆu27change,u=tan⁡θ,u
Table 6.3.22(b) Integration Methods tutor after x=23secθ is imposed
After making the initial change of variables, the integrand is actually a multiple of sec3θtan2θ, which occurred in Example 6.3.14, and is completely detailed there. The tutor makes the further change of variables u=tanθ and after some six more steps (including another change of variables and a rewrite) arrives at the form sec3θtan2θ. Mercifully, these details have been suppressed in Table 6.3.22(b).
Note that an annotated stepwise solution is available via the Context Panel with the "All Solution Steps" option.
The rules of integration can also be applied via the Context Panel, as per the figure to the right.
<< Previous Example Section 6.3 Next Example >>
© Maplesoft, a division of Waterloo Maple Inc., 2025. All rights reserved. This product is protected by copyright and distributed under licenses restricting its use, copying, distribution, and decompilation.
For more information on Maplesoft products and services, visit www.maplesoft.com
Download Help Document