Example 1-4-7 - Maple Help
For the best experience, we recommend viewing online help using Google Chrome or Mozilla Firefox.

Online Help

All Products    Maple    MapleSim


Chapter 1: Vectors, Lines and Planes

Section 1.4: Cross Product

Example 1.4.7

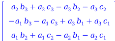
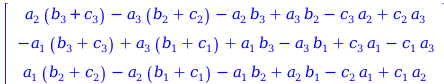
Taking A=a1 i+a2 j+a3 k, B=b1 i+b2 j+b3 k, and C=c1 i+c2 j+c3 k, and using Definition 1.4.1, verify the two distributive laws in Table 1.4.1.

<< Previous Example   Section 1.4    Next Example >>

© Maplesoft, a division of Waterloo Maple Inc., 2025. All rights reserved. This product is protected by copyright and distributed under licenses restricting its use, copying, distribution, and decompilation.

For more information on Maplesoft products and services, visit www.maplesoft.com